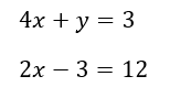
Refer to the example below, which demonstrates how to solve a simultaneous linear equation involving two unknowns:
Click on the icon to watch how you can solve the example shown.
Using your personal device, scan the QR code below to view the graph of the above example
Q1.
Q2.
Hover to reveal answer
Click on the icon to watch some more worked examples